Lernfabrik

JavaScript Funktionen und return

JavaScript-Rechenoperatoren

In JavaScript können Rechenoperationen genutzt werden – wie in jeder anderen Programmiersprache auch.

Grundlegende Rechenoperatoren

Operation Operator Beispiel
Addition + var i = i + 1;
Subtraktion - var sechs = 8 - 2;
Multiplikation * var acht = 2 * 4;
Division / var fuenf = 10 / 2;
Modulo % var m = 7 % 3; → Rest: 1

Es gilt die Regel: Klammern vor Punkt- vor Strichrechnung.

Beispiel: var x = (2 + 3) * 4; → Ergebnis: 20

Mathematische Funktionen in JavaScript

Funktion Beispiel Ergebnis
Potenz Math.pow(4, 2); 16
Wurzel Math.sqrt(16); 4
Zufallszahl Math.random(); z. B. 0.85
Runden Math.round(12.6); 13

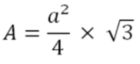
Beispiel: Flächenberechnung

Ein Beispiel für die Berechnung des Flächeninhalts eines gleichseitigen Dreiecks:

Formel zur Flächenberechnung
JavaScript-Code zur Berechnung

Übungsaufgaben zu LE01

Hinweis: Alle Ergebnisse und Zwischenergebnisse müssen in Moodle abgegeben werden.

Aufgabe